DarkSide-20k


TPC and the Veto System inside the Darkside- 20k cryostat

 3D Model of the Darkside-20k
DarkSide-20k: The Darkside-20k uses a dual-phase LAr time projection chamber (TPC) with 50 tonnes of LAr currently under construction in the Gran Sasso National Laboratory (LNGS). It is designed to search for Weakly Interacting Particles (WIMPs). As a follow up to the DEAP-3000 and DarkSide-50 detectors, Darkside-20k will use low-radioactivity argon extracted from underground (UAr) to reduce the event rate from the radioactive isotope 39Ar, present in argon from the atmosphere (where argon typically comes from, as the third most abundant element in the atmosphere) at an abundance of 1 Bq/kg.
Its spin-independent dark matter scattering sensitivity will be large enough that coherent elastic neutrino-nucleus scattering (CEνNS) from atmospheric neutrinos will form an irreducible background, though not yet fully limiting the sensitivity to dark matter, thanks to its otherwise zero-background design. The DarkSide-20k LArTPC is housed in a radiopure Gd-loaded acrylic shell, submerged in a ~30 tonne UAr volume, which constitutes the inner veto to tag neutron-induced signals that may mimic WIMPs. The TPC is located in a stainless steel vessel, filled with low-radioactivity argon originating from underground. The inner veto is contained in a stainless steel vessel and HDPE neutron shielding, submerged within a 650 tonne atmospheric argon (AAr) bath. An array of outward-looking photosensors mounted on the HDPE and wavelength-shifting and reflecting foils instruments this volume as the Outer Veto (OV), which can tag backgrounds from cosmic-ray muons, which may produce highly-penetrating, high-energy neutrons that can slip through the inner veto and make a WIMP-like background.
Scintillation signals are used to detect γ-rays when neutrons capture in the acrylic around the TPC, as part of the Inner Veto. Due to contamination caused by 39Ar traces AAr, UAr (extracted from our Urania plant in Colorado) will be purified and used for the TPC instead of AAr. Pulse Shape Discrimination (PSD) of the primary scintillation removes all backgrounds from electromagnetic radiation sources, allowing DarkSide-20k to detect and clearly identify supernova neutrino bursts from a majority of places across the Milky Way Galaxy, in addition to its WIMP sensitivity.Â
The UCR DarkSide-20k group is responsible for designing and operating the OV, including R&D addressing challenges associated with instrumenting large, low-background detectors, determining the cosmogenic background rates, and developing new physics searches we can perform with this detector volume, such as supernova neutrinos and ultra-heavy dark matter.



Left: In order to minimize backgrounds from the radioactive isotope 39Ar and help interpret WIMP like signals as a dark matter signals, rather than existing particles, the TPC will be submerged in liquid atmospheric argon (AAr).
Middle: 3D model of the Darkside 20k's inner detector, consisting of a dual-phase argon time projection chamber (TPC) surrounded by the outer veto, inside a cryostat. The model also shows the stainless steel vessel surrounding TPC and the underground argon inside the TPC. At UCR, our main focus is designing the outer veto of the TPC.
Right: A schematic view of the Darkside 20k, revealing the layer by layer design of the TPC, starting with the Acrylic TPC in the center and ending with the Outer Veto. The division of the Aar into two volumes helps keep the walls the TPC far from the cryostat.


Left: Darkside-20k under construction at Gran Sasso National Laboratory (LNGS), Predicted to begin operations in 2026
Right: Visiting the construction site of Darkside-20k, with grad student Alec Peck and undergrad Jared Hudnall
Time Projection Chamber (TPC): The TPC is modeled after its successful application in the Darkside-50 experiment and each of its two main events are denoted by S1 and S2. When Dark matter and other particles interact in the TPC, ionization electrons and scintillation photons are produced. The S1 signal refers to the instant production of scintillation photons when dark matter reacts with other particles in the Underground Argon (UAr). During this reaction, ionization electrons are produced and a electric field is applied in the TPC to force these electrons to drift away in a certain direction. Photons are produced when these electrons reach the gas argon phase, creating the S2 signal. The X and Y coordinates of the S1 signal are measured by photosensors on the top of the TPC. Along with the time difference between S2 and S1, the z coordinate of the S1 signal can be figured out. Ultimately this allows us to locate the exact location of the event in the UAr filled TPC and differentiate it from backgrounds that are usually produced close to the walls of the TPC.


DS-20k and Argo significance level to 11M and 27M versus distance from Earth (kpc)

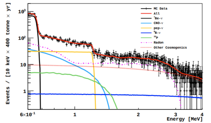
Events in a 400 tonne exposure per year vs energy levels (MeV)
Top Left: Significance level of the Darkside-20k and its successor Argo to core-collapse supernova burst neutrinos (11 M and 27 M) beyond the Milky Way Galaxy through the use of coherent elastic neutrino-scattering. The vertical lines represent distances from the Milky Way to the Small Magellanic Cloud (SMC). The high cross-section flavor-insensitivity of these reactions allow for highly efficient neutrino detection for both reactors, with target masses of 50t for the DS-20k and 360t for the Argo. Both reactors have the potential to identify supernova bursts all the way up to SMC, with >3σ sensitivity to the neutronization burst. This is thanks to the low energy threshold of 0.5KeV achieved through exploiting the ionization channel. The DS-20k can discover all the way to the end of the Milky Way Galaxy while the Argo can detect up till the SMC, due to its lower energy threshold and higher CEνNS cross section . By assuming lower 39Ar contamination, the discovery potential for both reactors increase.
Bottom Left: Illustrates the potential to solve solar metallicity model's through high precise solar neutrino measurements using electron-scattering sensitivity and similar channels. Shows simulated fits and spectra while assuming a radon contamination level of 100/uBq. This graph was a result of a toy Monte-Carlo approach to estimate the sensitivity of a two-phase LAr Time Projection Chamber to the Sun. A 400 tonne per year exposure was used along with thousands of samples to deal with known neutrino detection reactions and fluxes and yield low backgrounds. LAr TPCs are meant to detect WIMPs with good energy and special resolution along with high scintillation light yield. Using neutrino-electron elastic scattering events, these 300 tonne LAr TPCs are capable of making precise measurements (~15%) of solar neutrino fluxes.
[Solar neutrino detection in a large volume double-phase liquid argon experiment. https://iopscience.iop.org/article/10.1088/1475-7516/2021/03/043]
Right: Shows the sensitivity of the Darkside-20k to WIMPs compared to other detectors such as the Argo, LZ, XLZD, and XENONnT in a 90% confidence level. The Argo will succeed the DS-20k and XLZD will succeed both the LZ and the XENONnT. The different red lines illustrate the different tonne per year event exposure by the Darkside-20k. The WIMP sensitivity of the detectors also depends on the current limits illustrated in the background of the graph. Dark matter searches must have sensitivities close to the neutrino floor to have precise measurements and this graph shows us different sensitivities and exposure levels. Future detectors Argo and XLZD look to improve upon the sensitive levels of current detectors, as shown by the black and grey dotted lines.



Overview: The detection efficiency of SN neutrinos via CEvNS (S2-only) in the Darkside-20k for a total of 180 neutrino events from 11M and 350 events from 27M SNs against 7bg events at 10kpc. There is a flavor insensitive measurement of the entire SN-v flux and the detection of neutronization bursts are sensitive to neutrino mass ordering. Both the integrated neutrino energies and the SN mean are measured in the graphs left.
Top: Shows all background components and the time evolution of signal through event selection in the 3,100 Ne− energy range. For the Darkside-20k, there is a 6% probability of the expected pile of of single-electrons with physics events. This component can be identified and removed by preforming selection cuts on the spatial distance between both interactions. In order suppress 39Ar events and single electron backgrounds to The observation window of this component can then be defined between 3 and 100 Ne− and within 8 seconds from the burst.
Bottom: Illustrates the energy spectrum through the number of ionization electrons per mass unit of 27M and 11M neutrinos along with single electron event backgrounds. The external backgrounds from SiPMs and 39Ar decays are also accounted for. The yellow illustrates expected energy distribution of 39Ar backgrounds caused by contamination, which is similar to 10 kpc 11M SN with around 100 ionization electrons, corresponding to ∼8.5 keVer. By applying a threshold cut at, Ne− ≥3 , the single electron rate measured to be around 380 mHz/ton in the Darkside-50, drops to around 1.8 mHz/ton for 11M and 27M SNe neutrino signals.Â
[Sensitivity of future liquid argon dark matter search experiments to core-collapse supernova neutrinos. https://iopscience.iop.org/article/10.1088/1475-7516/2021/03/043]
